사건
2014구합73012 재산세등부과처분취소
원고
1. 주식회사 생보부동산신탁
2. 유나이티드피에프제일 주식회사
피고
성북구청장
변론종결
2015. 6. 12.
판결선고
2015. 6. 26.
주문
1. 원고 유나이티드피에프제일 주식회사의 소 및 원고 주식회사 생보부동산신탁의 소중 피고가 2014. 7. 16. 원고 주식회사 생보부동산신탁에 한 별지1 '재산세등 목록'기재 각 재산세 등 합계 157,928,780원의 부과처분 취소 청구 부분을 모두 각하한다.
2. 원고 주식회사 생보부동산신탁의 나머지 청구를 기각한다.
3. 소송비용은 원고들이 부담한다.
청구취지
피고가 원고 주식회사 생보부동산신탁에 대하여, 2014. 7. 16.에 한 주문 제1항 기재의 부과처분, 2014. 9. 10.에 한 별지2 '재산세등 목록' 기재 각 재산세 등 합계152,909,120원의 부과처분을 모두 취소한다.
이유
1. 처분의 경위
가. 원고 주식회사 생보부동산신탁(이하 '원고 신탁회사'라 한다)은 부동산신탁업 등 을 영위하는 회사로 개정 지방세법(2014. 1. 1. 법률 제12153호로 개정된 것, 이하 '개정법'이라 하고, 그 이전의 지방세법을 '구법'이라 한다) 시행일인 2014. 1. 1. 이전에주식회사 유니버스하우징 사이에 별지1 '재산세등 목록' 중 '물건명'란 기재 각 부동산에 관하여 신탁법에 따른 부동산신탁계약(이하 '이 사건 신탁계약'이라고 하고, 대상자산을 '이 사건 신탁자산'이라고 한다)을 체결하고, 이 사건 신탁자산에 관한 신탁등기를마쳤다.
나. 원고 유나이티드피에프제일 주식회사(이하 '원고 유나이티드피에프제일'이라고 한 다)는 이 사건 신탁계약에 따른 신탁수익권 및 우선수익권(신탁자산의 환가대금에서신탁사무 처리비용 및 신탁보수 등과 선순위 권리자의 채권을 차감한 잔여금액의 범위내에서 원리금 등을 우선 변제받을 수 있는 권리)에 대한 1순위 근질권자이다.
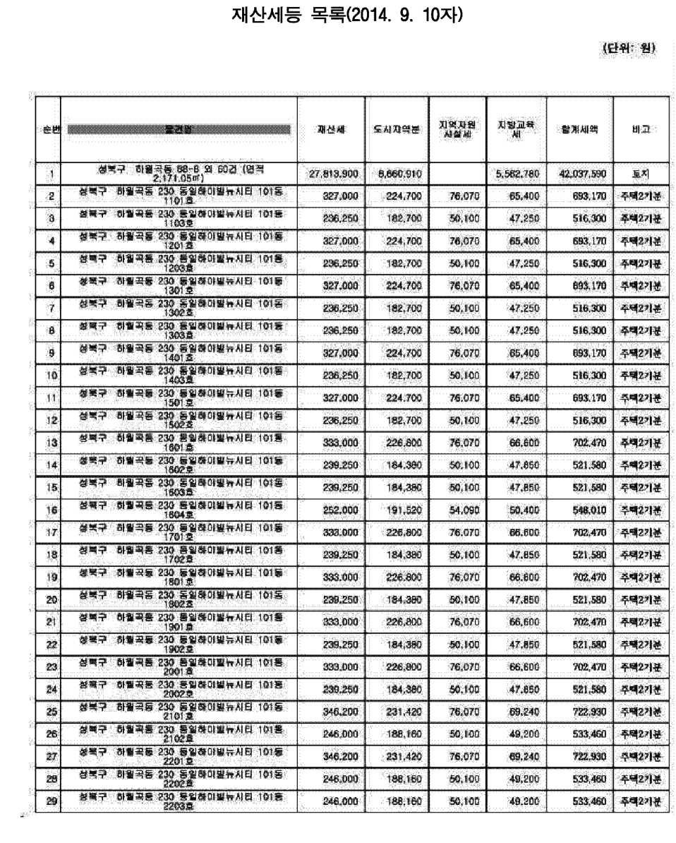
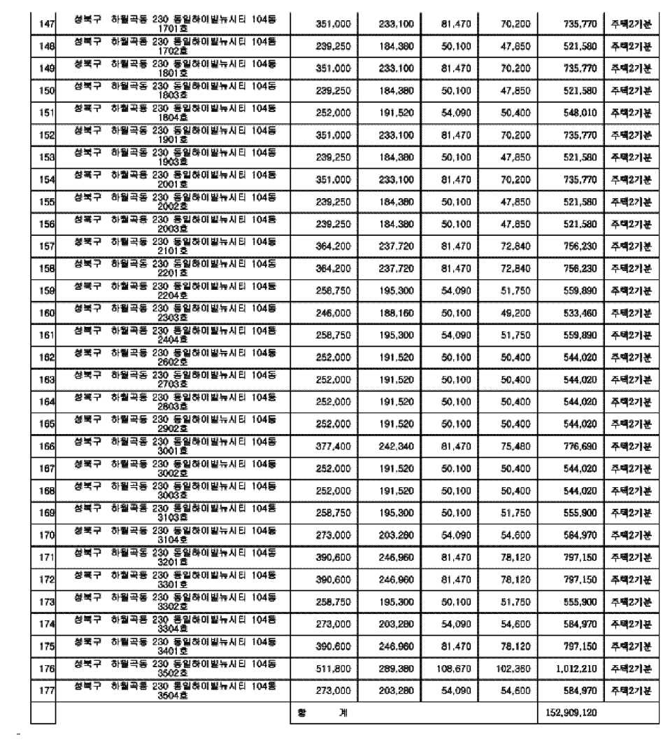
다. 피고는 개정법 제107조 제1항 제3호(이하 '이 사건 재산세규정'이라 한다) 및 부 칙 제1조 본문, 제17조 제1항(이하 위 부칙규정을 통틀어 '이 사건 부칙규정'이라고 한다)에 따라 이 사건 신탁자산의 수탁자인 원고 신탁회사에 대하여, 2014. 7. 16. 별지1'재산세등 목록' 기재 각 재산세 등 합계 157,928,780원, 2014. 9. 10. 별지2 '재산세등
목록' 기재 각 재산세 등 합계 152,909,120원을 각 부과•고지하였다(이하 2014. 7. 16. 자 부과처분을 '이 사건 제1처분', 2014. 9. 10자 부과처분을 '이 사건 제2처분'이라 하고, 위 각 처분을 통틀어 '이 사건 처분'이라 한다).
[인정근거] 다툼 없는 사실, 갑 제1, 2호증(가지번호 있는 것은 가지번호를 포함한다, 이하 같다), 을 제1, 2호증의 각 기재, 변론 전체의 취지
2. 관계법령
별지3 관계법령 기재와 같다.
3. 이 사건 소의 적법 여부
가. 원고 유나이티드피에프제일의 소에 대하여
이 사건 처분은 원고 신탁회사에 대하여 이루어진 것이고, 원고 유나이티드피에 프제일은 이 사건 처분의 직접 상대방이 아닌 제3자이다. 원고 유나이티드피에프제일이 이 사건 신탁자산에 관하여 신탁수익권 및 우선수익권에 대한 근질권을 보유하고있고, 이 사건 처분으로 인하여 결과적으로 재산세 상당액만큼 우선수익권이 줄어들어불이익을 입게 된다고 하더라도 이는 경제적, 사실적 이해관계에 해당할 뿐 지방세법등에 의하여 보호받는 법률상 이익의 침해로 보기는 어렵다. 만일 원고 유나이티드피에프제일에 대해서까지 원고적격을 확장한다면, 과세처분의 상대방에 대하여 채권을가진 사람 또는 과세물건에 관하여 우선변제권을 보유한 사람 등에 대하여 광범위하게원고적격을 부여하는 결과를 초래하고 만다. 따라서 원고 유나이티드피에프제일이 신탁자산의 환가절차와 관련하여 우선수익권에 관한 권리를 주장하는 등의 방법을 강구하는 것은 별론으로 하고, 원고 신탁회사에 대하여 이루어진 이 사건 처분 자체의 취소를 직접 구할 수 있는 법률상 지위에 있다고 볼 수는 없으므로, 원고 유나이티드피
에프제일이 제기한 소는 부적법하다.
나. 원고 신탁회사의 소 중 이 사건 제1처분 취소 청구 부분에 대하여
취소소송은 처분 등이 있음을 안 날로부터 90일 이내에 제기하여야 한다(행정소 송법 제20조 제1항). 을 제2, 3호증의 각 기재 및 변론 전체의 취지에 의하면, 원고 신탁회사가 2014. 7. 21. 이 사건 제1처분의 납세고지서를 수령한 사실을 인정할 수 있고, 이 사건 소는 그로부터 90일이 경과한 2014. 11. 28. 제기되었으므로, 원고 신탁회사의 소 중 이 사건 제1처분 취소 청구 부분은 제소기간을 도과하여 제기된 것으로 부적법하다. 이를 지적하는 피고의 이 부분 본안전항변은 이유 있다.
4. 이 사건 제2처분의 적법 여부
가. 지방세법의 개정내용
구법 제107조 제1항 본문은 '재산세 과세기준일 현재 재산을 사실상 소유하고 있 는 자는 재산세를 납부할 의무가 있다'고 규정하고, 같은 조 제2항 제5호는 '제1항에도불구하고 신탁법에 따라 수탁자 명의로 등기 • 등록된 신탁재산의 경우에는 위탁자가재산세를 납부할 의무가 있다'고 규정하여 신탁재산의 경우 재산세의 납세의무자를 수탁자가 아니라 위탁자로 정하고 있었다.
그런데 개정법은 제107조 제2항 제5호를 삭제하는 한편, 제107조 제1항 본문에서 '재산세 과세기준일 현재 재산을 사실상 소유하고 있는 자는 재산세를 납부할 의무가있다-고 규정하고, 이 사건 재산세규정인 같은 항 단서 제3호는 '다만, 신탁법에 따라수탁자 명의로 등기 • 등록된 신탁재산의 경우 위탁자별로 구분된 재산에 대해서는 수탁자를 납세의무자로 본다.'라고 규정하였다. 위 개정에 의하여 신탁재산의 경우 재산세의 납세의무자가 위탁자에서 수탁자로 변경되었는데, 그 취지는 신탁재산에 대한 체
납처분을 가능하게 하는 데 있다.
한편, 이 사건 부칙규정은 위 개정규정을 2014. 1. 1.부터 시행하되, 이 사건 신탁 계약과 같이 개정법의 시행일 이전에 체결된 신탁계약에 대해서도 위탁자가 아닌 수탁자가 재산세 납세의무를 부담하도록 정하고 있다.
나. 이 사건 부칙규정의 위헌 여부
1) 진정소급입법에 의한 재산권 침해인지에 대하여
이 사건 부칙규정은 개정법 시행일인 2014. 1. 1. 이전에 이미 재산세 과세요건 이 충족된 경우에 대해서 개정내용을 적용하여 재산세 납세의무자를 위탁자에서 수탁자로 변경하려는 것이 아니라(재산세 부과 원인사실은 신탁계약을 체결하는 행위가 아니라 과세기준일 현재 자산을 보유하는 행위이다), 개정법 시행 이후 처음으로 과세요건이 충족되는 재산세(재산세의 과세기준일은 매년 6월 1일이므로, 2014. 6. 1.분 재산세)부터 납세의무자를 수탁자로 변경하려는 것일 뿐이므로 이미 종료된 사실관계에 적용하는 진정소급입법으로 볼 수 없다.
따라서 이 사건 부칙규정이 소급입법에 의한 재산권 박탈금지의 원칙을 선언하 고 있는 헌법 제13조 제2항에 위반된다고 볼 수 없고, 이에 반하는 원고 신탁회사의이 부분 주장은 이유 없다.
2) 신뢰보호원칙에 위배되는지에 대하여
법률의 제정이나 개정 시 구법질서에 대한 당사자의 신뢰가 합리적이고도 정당 하며 법률의 제정이나 개정으로 야기되는 당사자의 손해가 극심하여 새로운 입법으로달성하고•자 하는 공익적 목적이 그러한 당사자의 신뢰의 파괴를 정당화할 수 없다면,그러한 새 입법은 신뢰보호의 원칙상 허용될 수 없다. 이러한 신뢰보호원칙의 위배 여
부를 판단하기 위해서는, 한편으로는 침해받은 이익의 보호가치, 침해의 중한 정도, 신 뢰가 손상된 정도, 신뢰침해의 방법 등과 다른 한편으로는 새 입법을 통해 실현하고자하는 공익적 목적을 종합적으로 비교 • 형량하여야 한다(헌법재판소 2001. 4. 26. 99헌바55결정 등 참조).
다른 한편, 개정법으로 인하여 원고 신탁회사가 침해받는 신뢰이익은 이 사건 신탁계약을 체결할 당시에는 예상하지 못한 재산세 납세의무를 새롭게 부담하게 되었고, 그에 따라 이 사건 신탁자산에 대하여 체납처분이 가능하게 되었다는 점이다. 그결과 일응 원고 신탁회사의 비용 등 회수권이 침해될 여지가 발생하였다고 볼 수도 있으나 개정법 제110조, 제111조에 따른 재산세의 산출세액이 시가표준액의 2%에도 미치지 않는 수준에 불과하고, 수탁자는 납부한 재산세를 신탁사무 처리비용 명목으로이 사건 신탁자산의 환가대금에서 우선하여 회수할 수 있다.
납세의무자를 위탁자에서 수탁자로 변경함으로 인하여 초래되는 신뢰의 손상은 헌법상 정당하다고 봄이 타당하다. 이에 반하는 원고 신탁회사의 이 부분 주장 역시 받아들일수 없다.
다. 이 사건 부칙규정은 헌법에 위반된다고 볼 수 없으므로, 이 사건 재산세규정 및 부칙규정에 근거한 이 사건 제2처분은 적법하다.
5. 결론
그렇다면, 원고 유나이티드피에프제일의 소 및 원고 신탁회사의 소 중 이 사건 제1 처분 취소 청구 부분을 모두 각하하고, 원고 신탁회사의 나머지 청구를 기각하기로 하여 주문과 같이 판결한다.
판사
재판장 판사 김국현
판사 김나영
판사 윤준석
별지
재산세등 목록(2014. 7. 16.자)











관계법령
■ 대한민국 헌법
제 13조
② 모든 국민은 소급입법에 의하여 참정권의 제한을 받거나 재산권을 박탈당하지 아니한다.
■ 지방세법
제 107조(납세의무자)
① 재산세 과세기준일 현재 재산을 사실상 소유하고 있는 자는 재산세를 납부할 의무가 있다. 다만, 다 음 각 호의 어느 하나에 해당하는 경우에는 해당 각 호의 자를 납세의무자로 본다.
3. 「신탁법」에 따라 수탁자 명의로 등기 • 등록된 신탁재산의 경우: 위탁자별로 구분된 재산에 대해서는 그 수탁자. 이 경우 위탁자별로 구분된 재산에 대한 납세의무자는 각각 다른 납세의무자로 본다.
제110조(과세표준)
① 토지 • 건축물 • 주택에 대한 재산세의 과세표준은 제4조 제1항 및 제2항에 따른 시가표준액에 부동산 시장의 동향과 지방재정 여건 등을 고려하여 다음 각 호의 어느 하나에서 정한 범위에서 대통령령으로정하는 공정시장가액비율을 곱하여 산정한 가액으로 한다.
1. 토지 및 건축물: 시가표준액의 100분의 50부터 100분의 90까지
2. 주택: 시가표준액의 100분의 40부터 100분의 80까지
제 111 조(세율)
① 재산세는 제110조의 과세표준에 다음 각 호의 표준세율을 적용하여 계산한 금액을 그 세액으로 한다.
1. 토지
가. 종합합산과세대상 (생략)
나. 별도합산과세대상 (생략)
다. 분리과세대상
1) 전 • 답 • 과수원 • 목장용지 및 임야: 과세표준의 1천분의 0.7
2) 골프장 및 고급오락장용 토지: 과세표준의 1천분의 40
3) 그 밖의 토지: 과세표준의 1천분의 2
2. 건축물
가. 제13조 제5항에 따른 골프장(같은 항 각 호 외의 부분 후단은 적용하지 아니한다), 고급오락장용 건축물: 과세표준의 1천분의 40
나. 특별시•광역시(군 지역은 제외한다) • 시(읍 • 면지역은 제외한다) 지역에서 「국토의 계획 및 이용 에 관한 법률」과 그 밖의 관계 법령에 따라 지정된 주거지역 및 해당 지방자치단체의 조례로 정하는지역의 대통령령으로 정하는 공장용 건축물: 과세표준의 1천분의 5
다. 그 밖의 건축물: 과세표준의 1천분의 2.5
부칙 <법률 제12153호, 2014. 1. 1.>
제1조(시행일)
이 법은 2014년 1월 1일부터 시행한다. 다만, 제92조 제2항, 제103조의3 제4항 및 제103조의20 제2항의 개정규정은 2017년 1월 1일부터 시행하고 제123조의 개정규정은 공포 후 3개월이 경과한 날부터 시행하며, 제103조의29의 개정규정은 2015년 1월 1일부터 시행한다.
제17조(신탁재산에 대한 재산세 납세의무자 변경에 관한 경과조치)
① 이 법 시행 전에 재산세 납세의무가 성립된 경우에는 제107조 제2항 제5호의 개정규정에도 불구하고 종전의 규정에 따른다.
제107조(납세의무자)
① 재산세 과세기준일 현재 재산을 사실상 소유하고 있는 자는 재산세를 납부할 의무가 있다. 다만, 공유재산인 경우에는 그 지분에 해당하는 부분(지분의 표시가 없는 경우에는 지분이 균등한 것으로 본다)에 대하여 그 지분권자를 납세의무자로 보며, 주택의 건물과 부속토지의 소유자가 다를 경우에는 그 주택에 대한 산출세액을 제4조제1항 및 제2항에 따른 건축물과 그 부속토지의 시가표준액 비율로 안분계산한 부분에 대하여 그 소유자를 납세의무자로 본다.
② 제1항에도 불구하고 재산세 과세기준일 현재 다음 각 호의 어느 하나에 해당하는 자는 재산세를 납부할 의무가 있다.
제11호에 따른 지역주택조합 • 직장주택조합이 조합원이 납부한 금전으로 매수하여 소유하고 있는 신탁 재산의 경우에는 해당 지역주택조합 • 직장주택조합). 이 경우 수탁자(지역주택조합 • 직장주택조합의 경우에는 조합원)는「지방세기본법」제135조에 따른 납세관리인으로 본다. 끝.